QMA問題ブログ
クイズマジックアカデミーの画像問や動画問を調べるブログ
[PR]
2026年05月10日
×
[PR]上記の広告は3ヶ月以上新規記事投稿のないブログに表示されています。新しい記事を書く事で広告が消えます。
画像タッチ
2010年06月21日
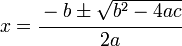
この二次方程式の解の公式で
間違っている部分は?
二次方程式 - Wikipedia
PR
Comment
Name:
Subject:
Mail:
URL:
Decoration:
Black
LimeGreen
SeaGreen
Teal
FireBrick
Tomato
IndianRed
BurlyWood
SlateGray
DarkSlateBlue
LightPink
DeepPink
DarkOrange
Gold
DimGray
Silver
Comment:
Pass:
Trackback
トラックバックURL:
«
画像タッチ
|
HOME
|
文字パネル
»
カレンダー
04
2026/05
06
S
M
T
W
T
F
S
1
2
3
4
5
6
7
8
9
10
11
12
13
14
15
16
17
18
19
20
21
22
23
24
25
26
27
28
29
30
31
ブログ内検索
フリーエリア
[PR]
敏感肌 化粧品
カテゴリー
プレイ情報など ( 13 )
プレイ画像いろいろ ( 44 )
ノンジャンル(ジャンル不明) 画像 ( 130 )
アニメ&ゲーム 画像 ( 86 )
ライフスタイル 画像 ( 82 )
スポーツ 画像 ( 119 )
芸能 画像 ( 75 )
社会 画像 ( 130 )
文系学問 画像 ( 67 )
理系学問 画像 ( 58 )
検定 ( 10 )
週刊ファミ通クイズ(QMADS2) ( 10 )
ニュースクイズ ( 154 )
動画四択まとめ ( 1 )
ノン:問題回収 ( 18 )
スポ:問題回収 ( 8 )
社会:問題回収 ( 4 )
文系:問題回収 ( 1 )
理系:問題回収 ( 6 )
芸能:問題回収 ( 1 )
早いもの勝ちクイズ ( 36 )
グループ分け ( 1 )
文系学問 ○× ( 1 )
文系学問 四択 ( 1 )
文系学問 連想 ( 3 )
文系学問 画像タッチ ( 1 )
文系学問 並べ替え ( 1 )
文系学問 文字パネル ( 1 )
文系学問 スロット ( 1 )
文系学問 タイピング ( 1 )
文系学問 エフェクト ( 1 )
文系学問 キューブ ( 1 )
文系学問 順番当て ( 1 )
文系学問 線結び ( 1 )
文系学問 一問多答 ( 1 )
文系学問 早いもの勝ち ( 1 )
テレビ番組 ( 15 )
多答リレー ( 7 )
アニメ&ゲーム 連想 ( 2 )
スポーツ 連想 ( 2 )
芸能 連想 ( 4 )
雑学 連想 ( 1 )
社会 連想 ( 3 )
ライフスタイル 連想 ( 1 )
理系学問 連想 ( 2 )
アニゲ:問題回収 ( 3 )
並べ替え ( 1 )
QMAリウム ( 8 )
プロフィール
HN:
No Name Ninja
性別:
男性
自己紹介:
@game_prize_qma からのツイート
リンク
管理画面
新しい記事を書く
バーコード
RSS
RSS 0.91
RSS 1.0
RSS 2.0
P R