忍者ブログ

[PR]

2026年05月30日
×

[PR]上記の広告は3ヶ月以上新規記事投稿のないブログに表示されています。新しい記事を書く事で広告が消えます。

○×

2010年07月13日

b5406e36.jpeg次のうち
二次関数のグラフは
どっち?



















正解はA。
放物線の形になっているのが2次関数のグラフ。
2次関数のグラフ y=x^2

Bの方は対数関数のグラフ?
対数関数

PR

連想

2010年07月13日

49a26d3b.jpeg質量を測定
てこの原理を利用
分銅を乗せる
2枚のお皿




A ガスバーナー
B 顕微鏡
C 天秤
D 試験管













正解はCの天秤。
画像に使われているのは上皿天秤だな。


2番目のヒントはこれのことかな?

てんびん・てこ実験器

てんびん・てこ実験器

価格:10,080円(税込、送料別)

>この実験器を使って「支点からの距離と分銅の数」の関係を調べることで、アルキメデスが発見したと言われる「てこの原理」を理解することができます。

○×

2010年07月06日

a78e74bc.jpeg1915年に人工癌の発生に成功
した山極勝三郎が、その時
実験に使った動物はどっち?

A うさぎ
B ねずみ
















正解はAのうさぎ。

山極勝三郎 - Wikipedia
「やまぎわ かつさぶろう」と読む。

タイピング

2010年07月04日

efd9a448.jpeg正方形2つを組み合わせたこの図
で、赤色部の面積は何平方cm?

読めないといけないから書いておくけど、
8cmと10cmね。


こんなのわからねーよ、という人用のヒント
・正方形(大)-正方形(小)=赤色部の面積
・正方形(小)は三角形2つで出来ている
・三角形の高さが分からないときは補助線を引くといいかも











正方形(大)の面積は、
8cm×8cm=64cm²

正方形(小)の面積は三角形2つと考えて、
底辺10cm×高さ5cm÷2×2個=50cm²
(もう一本対角線を引けば高さが5cmだとすぐに分かる。10cmの半分)

64cm²-50cm²=14cm²


答え 14

タイピング

2010年07月04日

67f13f7f.jpeg世界初のものはオランダの学者
レーウェンフックが制作しました



















けんびきょう(顕微鏡)

アントニ・ファン・レーウェンフック - Wikipedia
レーウェンフックの顕微鏡(科学のつまみ食い)

レーウェンフックの顕微鏡;Leeuwenhoek's Microscope

連想

2010年07月02日

454d4b47.jpeg次の画像から連想される
季節は?
1番目 いて座
2番目 こと座
3番目 はくちょう座
4番目 さそり座

A 春
B 冬
C 夏
D 秋











夏の星座

夏の星座 / 夏の夜空


画像検索
いて座 - Google 検索
こと座 - Google 検索
はくちょう座 - Google 検索
さそり座 - Google 検索

四択

2010年07月02日

0491fe67.jpeg酸性・中性・アルカリ性で
このような色になる指示薬は?

酸性:黄色  中性:緑  アルカリ性:青


1 ムラサキキャベツ液
2 BTB溶液
3 リトマス液
4 フェノールフタレイン溶液












正解は2のBTB溶液
ブロモチモールブルー - Wikipedia


実験1 紫キャベツで酸性orアルカリ性?
紫キャベツ利用法
酸性が赤、中性は紫、アルカリ性は黄色。

フェノールフタレイン溶液
アルカリ性だと赤紫(濃いピンク)色に変化。

指示薬一覧

一問多答

2010年07月01日

01ee21a9.jpeg次のうち、消化器を
全て選びなさい

1 胃
2 心臓
3 腸
4 食道














正解は
1 胃
3 腸
4 食道

食道はただの通り道だけど、消化器系に分類されるので注意。

消化器 - Wikipedia

画像タッチ

2010年06月21日

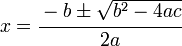
654b5b44.jpegこの二次方程式の解の公式で
間違っている部分は?



















二次方程式 - Wikipedia

8003ca4d.png



画像タッチ

2010年06月21日

fd8a389b.jpegフレミングの左手の法則で
「磁界の方向」を
示すのは?


















人差し指

中指の方から、電・磁・力、と覚える。
ちなみにフレミングの右手の法則もある。